- Hugo NOgymNOlimits
- Posts
- Mejora tu rutina nocturna y maximiza tu energía al día siguiente.
Mejora tu rutina nocturna y maximiza tu energía al día siguiente.
Copia este protocolo basado en la ciencia.

¡Hey Hey Hey! Qué pasa amigos…
El otro día durante una conversación con un cliente, una vez más vi un patrón que se repite de forma constante.
Uno de los principales problemas con el que deben lidiar todos aquellos que empiezan un proceso de pérdida de peso (o de mejorar su salud), es resolver esta ecuación:
Tener Una Buena Rutina Nocturna = Tener Más Energía Al Día Siguiente.
¿Simple no?
Perfecto, lo simple es lo mejor. Como Ingeniero, soy muy pragmático y mi filosofía aplicada a la salud consiste en eso: EN SIMPLIFICAR.
Ahora desglosaremos esa ecuación, pero después de analizar infinidad de patrones de comportamiento, para mi no es debatible,… esto representa el caballo de batalla de la mayoría de los que quieren mejorar sus hábitos.
Después de haber impartido cientos de formaciones en empresas, sobre salud, higiene, ergonomía y psicosociología, cada vez que llegaba la ronda de preguntas final, todo acababa dirigido ahí:
“Quiero mejorar mis hábitos, pero me siento sin energía. El estrés me domina”.
Y con mis clientes sucede exactamente lo mismo. Cuando analizamos su situación antes de empezar a trabajar juntos para mejorar su salud (perder peso, ponerse en forma, mejorar sus hábitos), ese es el principal caballo de batalla de todos.
Y ahí es donde pongo el foco antes de empezar.
Porque…
A mediados del siglo XIX, Hermann von Helmholtz ya lo formuló:
La energía es finita y no puede crearse de la nada, solo transformarse.
Esto tiene una consecuencia directa para la salud:
si tu cuerpo gasta más energía de la que recupera, el sistema se degrada.
Entrenar, trabajar, pensar y decidir consume energía.
Dormir y recuperar no es opcional: es la única forma de reponerla.

Uno de los artículos más influyentes de la historia, no ya de la física, sino de la ciencia, lo que no implica que sea de los más conocidos. Se publicó en 1847. El autor, un joven médico alemán que estaba estudiando el metabolismo del músculo llamado Hermann Von Helmholtz, tituló su trabajo Über die Erhaltung der Kraft (Sobre la conservación de la fuerza). Helmholtz (usando » fuerza «en el sentido moderno de «energía»)
Cualquier sistema, una máquina, un motor o el cuerpo humano, solo puede funcionar si extrae energía de una fuente.
Cuando esa fuente se agota, el sistema deja de rendir.
No puedes gastar más energía de la que recuperas.
Así que…
Tener una buena rutina nocturna, no es perder tiempo.
Es el único momento del día en el que el cuerpo recarga la fuente.
Por qué las rutinas de mañana están sobrevaloradas.
Durante años pensé que si quería rendir mejor tenía que empezar el día antes que nadie.
Levantarme pronto.
Entrenar fuerte.
“Ganar la mañana”.
Y sí, todo esto es clave y lo sigo haciendo sin falta.
Pero con el tiempo entendí algo mucho más incómodo:
El día no se “estropea” por la mañana.
El día se decide la noche anterior.
Cuando duermo mal, todo falla.
Entreno peor, pienso peor, trabajo peor y tengo menos paciencia.
Internet está lleno de “morning routines” perfectas:
meditar, duchas frías, leer, escribir, caminar, afirmaciones…
Todo eso está bien… si tienes tiempo y cero fricción.
El problema es que estas rutinas:
son rígidas.
dependen de que nada falle.
no atacan la raíz del problema.
no tienen en cuenta la VIDA REAL y las circunstancias personales de cada uno.
La noche no es descanso: es regulación.
Durante las horas previas al sueño se regulan:
ritmos circadianos.
melatonina.
sistema nervioso.
recuperación muscular y cerebral.
Dormir bien no empieza al acostarte.
Empieza antes.

1. Luz durante el día, oscuridad por la noche.
La exposición a luz natural durante el día ayuda a sincronizar el reloj interno y mejora la arquitectura del sueño.
La luz artificial por la noche hace lo contrario:
retrasa la melatonina y empeora la calidad del descanso.
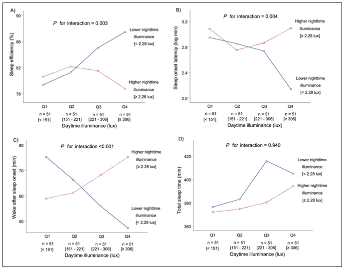
Este efecto se observa de forma especialmente clara en poblaciones sensibles al ritmo circadiano, como pacientes con trastorno bipolar, donde la luz diurna y la luz nocturna predicen directamente la calidad del sueño.”:

No es teoría.

Asociación entre la luz recibida durante el día (por cuartiles) y distintos parámetros del sueño, diferenciando entre quienes duermen con poca luz nocturna (líneas azules) y con más luz nocturna (líneas rojas). Se muestran los valores medios de: A) eficiencia del sueño, B) latencia para dormirse, C) minutos despierto tras iniciar el sueño y D) tiempo total de sueño. El valor P indica si la combinación de luz diurna y luz nocturna influye conjuntamente en estos parámetros.
Conclusión: más luz durante el día se asocia con mejor calidad de sueño solo cuando la noche es oscura.
Además, entrenar o moverte al aire libre se asocia con mejores resultados cognitivos que hacerlo en interior, como comentaba en el mail del pasado miércoles.
2. Estimulación tardía: el sabotaje invisible.
Dos errores muy comunes:
cafeína demasiado tarde.
entrenamientos intensos cerca de la hora de dormir.
La cafeína puede tardar 8–10 horas en eliminarse.
Y el ejercicio intenso eleva adrenalina y temperatura corporal.
Yo mismo pensé durante años que entrenar tarde “me relajaba”.
Hasta que empecé a dormir peor.
3. La luz nocturna sí importa (mucho).
Reducir la intensidad de luz por la noche ayuda al cerebro a entender que el día se acaba.
En casa:
luces más bajas.
menos pantallas.
filtros o gafas de bloqueo azul.

Pequeños cambios aquí mejoran:
latencia.
profundidad.
continuidad del sueño.
4. El intestino también influye en el sueño.
Dormir no es solo cosa del cerebro.
Un análisis genético a gran escala encontró relaciones causales entre ciertos perfiles de microbiota y:
duración del sueño.
insomnio.
fatiga.

Esto refuerza una idea clave:
Cenas tardías, pesadas o mal planteadas pueden sabotear el descanso. Te acuestas para descansar, no para hacer la digestión.
5. El “volcado mental”.
Irte a la cama con la cabeza llena es garantía de dormir peor.
Algo simple que hago:
escribir prioridades del día siguiente.
dejar decisiones cerradas.
Sacar el ruido de la cabeza baja activación.
6. Calor antes de dormir.
Una ducha caliente funciona como señal fisiológica:
el descenso posterior de temperatura facilita el inicio del sueño.
Y marca como una especial de límite:
El día ha terminado.
Pruébalo y verás como funciona.
7. Comer y beber con criterio (3–2–1).
Un marco simple:
3 horas antes: dejar de comer.
2 horas antes: última bebida.
1 hora antes: fuera pantallas.

Esto no es fácil de conseguir, lo sé… pero es fisiología básica y sentido común.
8. La hora de acostarte: la palanca real.
La regularidad manda más que la perfección.
No me obsesiono con hacerlo perfecto.
Sí con parar a tiempo.
Dormir bien no es dormir cuando puedes.
Es priorizar cuándo acabas el día.
Actualmente me acuesto a las 22h, aunque soy consciente de que en verano puede que vuelva a las 23h. Pero eso sí, sea la hora que sea… es clave que todos los días sea la misma rutina.
La idea importante.
La rutina nocturna no va de de añadir más hábitos.
Va de eliminar los que sabotean tu energía al día siguiente.
Si quieres días mejores, deja de obsesionarte con cómo empiezan.
Y empieza a cuidar cómo terminan.
Espero que esto te ayude y te sirva.
Si quieres empezar a mejorar tu salud, entrenamiento, nutrición y hábitos, puedo ayudarte de varias formas.
Aquí tienes un par de guías que te pueden ayudar:
Y por otra parte si te gustaría empezar a cambiar de verdad tu estilo de vida, trabajando 1:1 conmigo, tengo plazas disponibles. Contéstame a este correo y lo comentamos.
Y hasta aquí por hoy,… nos leemos de nuevo el miércoles.
Un abrazo.
Hugo.
Referencias
Sleep physiology and sleep hygiene review.
Sleep Medicine Clinics, 2023.
PMID: 36841492Lee P-H et al. Interaction of daytime and nighttime light exposure on objective sleep parameters.
Sleep, 2025.
PMID: 40825765Walters G. et al. Outdoor physical activity is more beneficial than indoor physical activity for cognition in young people.
Physiology & Behavior, 2025.
DOI: 10.1016/j.physbeh.2025.114888Gladwell V.F. et al. The great outdoors: how a green exercise environment can benefit all.
Extreme Physiology & Medicine, 2013.
PMCID: PMC3701588Weibel J. et al. Regular caffeine intake delays REM sleep promotion and attenuates sleep quality.
Journal of Neuroscience, 2021.
PMID: 34024173Caffeine alters recovery sleep and continuity.
PMID: 39458438Thomas C. et al. Evening wear of blue-blocking glasses for sleep and mood disorders.
Sleep Medicine Reviews, 2021.
PMID: 34030534Kim S. et al. Effect of evening blue-light blocking glasses on subjective and objective sleep in healthy adults.
Sleep Health, 2021.
PMID: 33707105Yue M. et al. Causal effects of gut microbiota on sleep-related phenotypes: a Mendelian randomization study.
Clocks & Sleep, 2023.
PMID: 37754355Godos J. et al. Does the proximity of meals to bedtime influence the sleep of young adults?
Nutrients, 2020.
PMID: 32295235Effects of exercise with or without light exposure on sleep quality and hormone responses.
PMID: 25566466